Welcome to ERAN Database
| Title | Grain size distribution of the suspended solids in the rivers within the 80km radius from TEPCO's Fukushima Daiichi Nuclear Power Plant | |
|---|---|---|
| Author 1 | Taniguchi, Keisuke |
|
| Author 2 | Kuramoto, Takayuki | |
| Author 3 | Onda, Yuichi | |
| Author 4 | ||
| Authors 5- | ||
| Subject | Lakes & Rivers | |
| Subject_sub1 | ||
| Subject_sub2 | ||
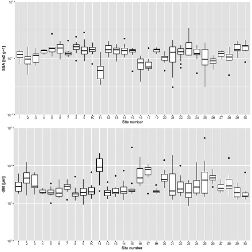
| Abstract | This is a data set of grain size distributions of suspended solids (SS) collected in rivers located within 80 km of the Fukushima Daiichi Nuclear Power Plant, measured by Fukushima Prefectural Centre for Environmental Creation. Suspended solids (SS) samplers were installed at 28 river monitoring sites, and SS samples were collected every few months (62 days on average). After the samples were dried at 110 ℃ for 24 hours, the radiocaesium concentrations were measured with a germanium semiconductor detector (EGC25-195-R, Canberra-Eurisys, USA.). All data are decay corrected on the sample collection date. The median diameter (D50) and specific surface area (SSA) of each sample were measured by using a laser scattering and diffraction particle size analyzer (LA-960A, HORIBA, Japan). The concentrations of 134Cs and 137Cs of the samples in this dataset have already been reported in "doi: 10.34355/Fukushima.Pref.CEC.00014", but are also listed in this dataset for easy to use. Detailed processing methods was published in Taniguchi et al. (2019). ---Taniguchi, K., Onda, Y., Smith, H. G., Blake, W. H., Yoshimura, K., Yamashiki, Y., Kuramoto, T., Saito, K., (2019). Transport and redistribution of radiocaesium in Fukushima fallout through rivers. Environ. Sci. Technol. 53, 12339–12347. doi:10.1021/acs.est.9b02890 | |
| Temporal coverage | April 17, 2015~March 2, 2017 | |
| Spatial coverage | Rivers N36.9175, E140.7786111 and N38.09472222, E140.8719444 | |
| File format | Delimited | |
| Language | English | |
| Discovery metadata record | ||
| Publisher | Center for Research in Isotopes and Environmental Dynamics, University of Tsukuba | |
| Publication year | 2020 | |
| Publication date | 25th of May, 2020 | |
| Digital Object Identifier (DOI) | doi: 10.34355/Fukushima.Pref.CEC.00021 Data Download (35KB) | |
| Short DOI | ||
| Citation text | Taniguchi, K., Kuramoto, T., Onda, Y. (2020) , Grain size distribution of the suspended sediments in the rivers within the 80km radius from TEPCO's Fukushima Daiichi Nuclear Power Plant. CRiED, University of Tsukuba, doi: 10.34355/Fukushima.Pref.CEC.00021
Taniguchi, K., Onda, Y., Smith, H. G., Blake, W. H., Yoshimura, K., Yamashiki, Y., Kuramoto, T., Saito, K., (2019). Transport and redistribution of radiocaesium in Fukushima fallout through rivers. Environ. Sci. Technol. 53, 12339–12347. doi:10.1021/acs.est.9b02890 | |
| Serial at center | 00021 | |
| Serial at each Univ./Institute | CEC00003 | |
| Key word 1 | 137Cs | |
| Key word 2 | 134Cs | |
| Key word 3 | Suspended Matter | |
| Key word 4 | ||
| Key word 5 | ||
| Remarks | ||